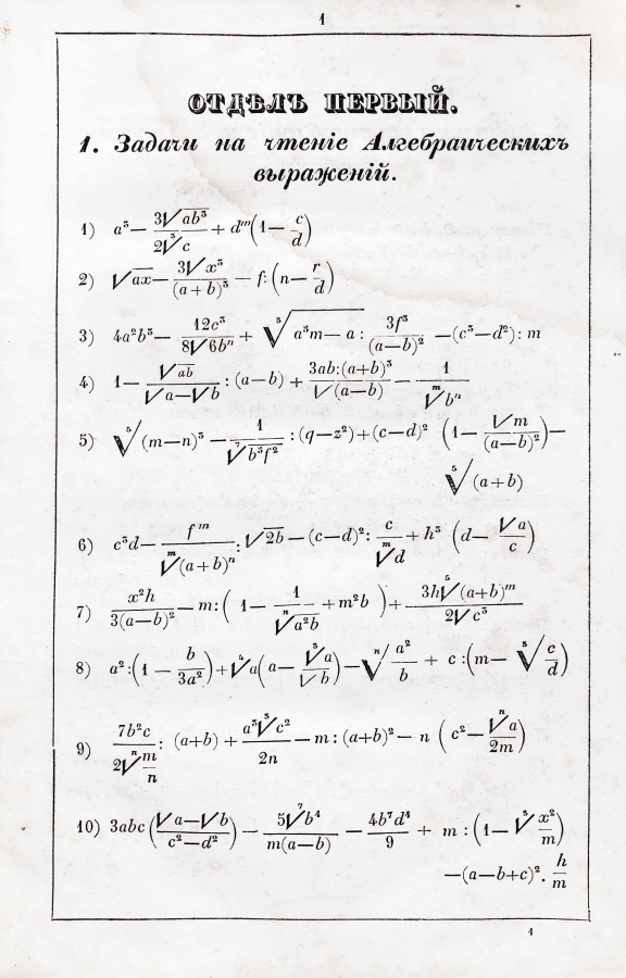
Книга "Сборник математических задач для межевых учебных заведений"
Книге 169 лет!
Москва: Типография В. Готье
1857
Владельческий полукожаный переплет. Потертости на переплете. Корешок утерян. Владельческие подписи и пятна на форзаце и титуле. Пятна на страницах. 23 см
Ламовский Александр Михайлович — наставник-наблюдатель математики в Константиновском межевом институте.
Императорский Константиновский межевой институт — первое и долгое время единственное в стране высшее учебное заведение, осуществлявшее подготовку специалистов по межеванию и землеустройству, геодезии и картографии.
В удовлетворительном состоянии.
Распечатать презентацию




